분리 집합
분리집합이란 서로 공통된 원소를 가지고 있지 않은 두 개 이상의 집합, 즉 서로소 집합이다. 따라서 A ∩ B = Ø가 성립된다.
유니온 파인드
이러한 분리집합은 유니언 파인드 자료구조를 사용한다.
Find 연산
각 트리셋의 자식 노드가 루트(최상위 노드)를 찾는 과정
find(x)

- 찾는 노드에 들어있는 대표 노드로 감
- x와 x의 부모가 같다면 x를 리턴
- 그렇지 않다면 재귀적으로 find를 수행
x의 x의 부모가 같다면 그 노드는 루트 노드이다.
public int find(int x) {
if (x == parent[x]) return x;
return parent[x] = find(parent[x]);
}
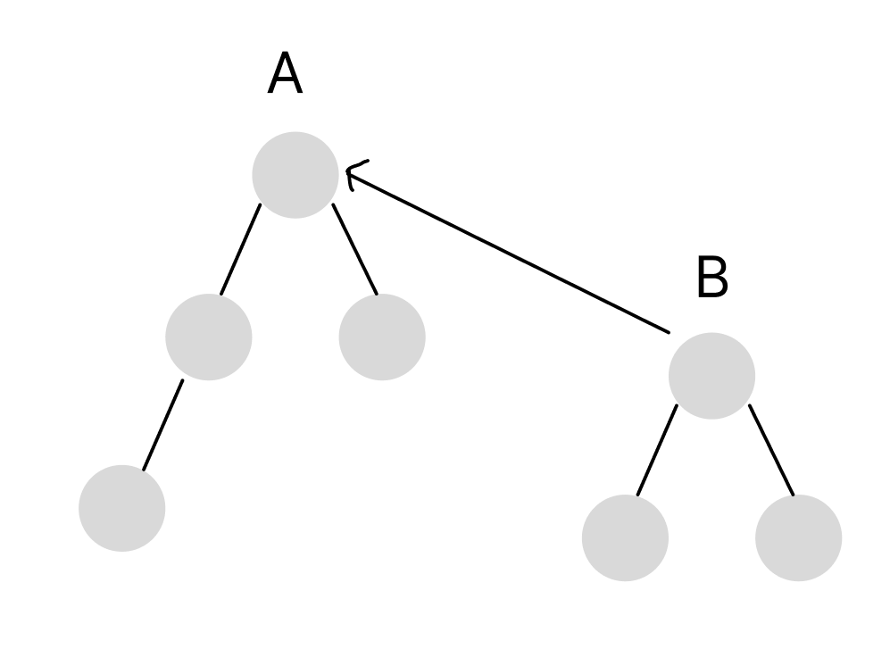
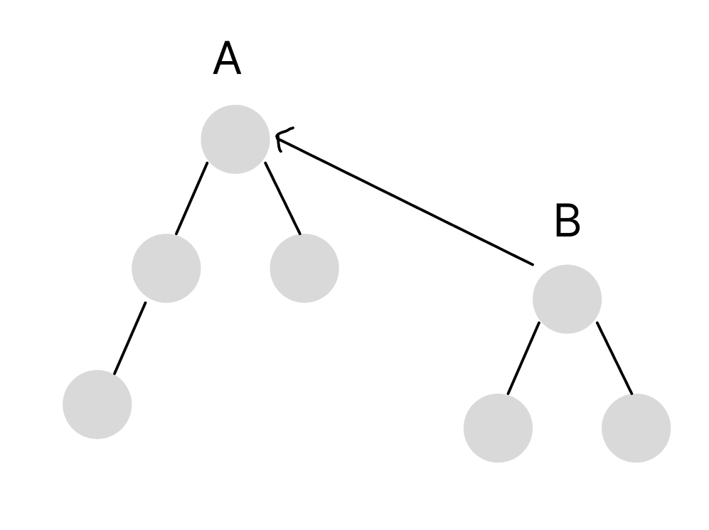
Union연산
한 트리셋의 루트가 다른 트리셋의 루트를 가르키게 하여 트리를 병합하는 과정
Union(x,y)

union은 트리를 병합하는 과정이다.
위에서 만든 find로 각 트리의 대표 노드를 찾고, 같지 않을 경우 B가 아닌 B의 대표 노드의 값을 A 노드의 대표 노드 값으로 바꿔야 한다.
public void union(int x, int y) {
int nx = find(x);
int ny = find(y);
if (nx != ny) {
parent[nx] = ny;
}
}
예시문제: 거짓말:1043번
더보기
import java.io.*;
import java.util.*;
public class _1043 {
static int[] parents;
static ArrayList<Integer>[] party;
public static void main(String[] args)throws IOException {
BufferedReader br=new BufferedReader(new InputStreamReader(System.in));
StringTokenizer st=new StringTokenizer(br.readLine());
int n=Integer.parseInt(st.nextToken()); //사람의 수
int m=Integer.parseInt(st.nextToken()); //파티의 수
st=new StringTokenizer(br.readLine());
int t=Integer.parseInt(st.nextToken()); //진실을 아는 사람의 수
int[] tIdx; //진실을 아는 사람
party=new ArrayList[m];
parents=new int[n+1];
if(t>0) {
tIdx= new int[t];
for (int i = 0; i < t; i++) {
tIdx[i]=Integer.parseInt(st.nextToken());
}
}else{
System.out.println(m);
return;
}
for(int i=0;i<m;i++){
st=new StringTokenizer(br.readLine());
party[i]=new ArrayList<>();
int size=Integer.parseInt(st.nextToken());
for(int j=0;j<size;j++){
party[i].add(Integer.parseInt(st.nextToken()));
}
}
for(int i=0;i<=n;i++){
parents[i]=i;
}
//각각 파티 집합으로 묶어주기
for(int i=0;i<m;i++){
int a=party[i].get(0);
for(int j=1;j<party[i].size();j++){
union(a,party[i].get(j));
}
}
int cnt=0;
//같은 집합에 속해있는지 확인
for(int i=0;i<m;i++){
int leader=party[i].get(0);
boolean flag=true;
for(int j=0;j<t;j++){
if(isitsame(leader,tIdx[j])){
flag=false;
break;
}
}
if(flag)
cnt++;
}
System.out.println(cnt);
}
static int find(int x){
if(parents[x]==x)
return x;
else {
return parents[x]=find(parents[x]);
}
}
static void union(int x, int y){
x=find(x);
y=find(y);
if(x!=y)
parents[y]=x;
}
static boolean isitsame(int x, int y){
if(find(x)==find(y))
return true;
else {
return false;
}
}
}
'CS > Algorithm' 카테고리의 다른 글
| [MST] 프림 알고리즘 (Prim) (0) | 2024.07.22 |
|---|---|
| [MST] 크루스칼 알고리즘 (Kruskal) (0) | 2024.07.22 |
| [최단거리] 플로이드-워셜 알고리즘 (Floyd-Warshal) (0) | 2024.07.11 |
| [최단거리] 벨만-포드 알고리즘 (Bellman-Ford) (2) | 2024.07.10 |
| [최단거리] 다익스트라 알고리즘 (Dijkstra) (0) | 2024.07.10 |