문제 바로가기 > 1629번: 곱셈

모듈러 성질과 분할 정복을 이용해 풀 수 있다.
분할 정복
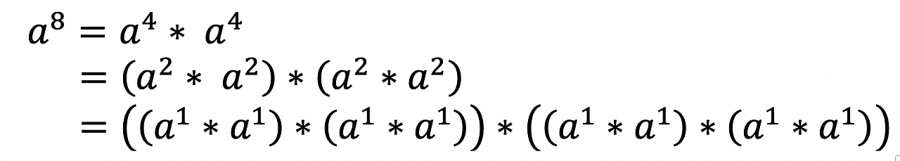
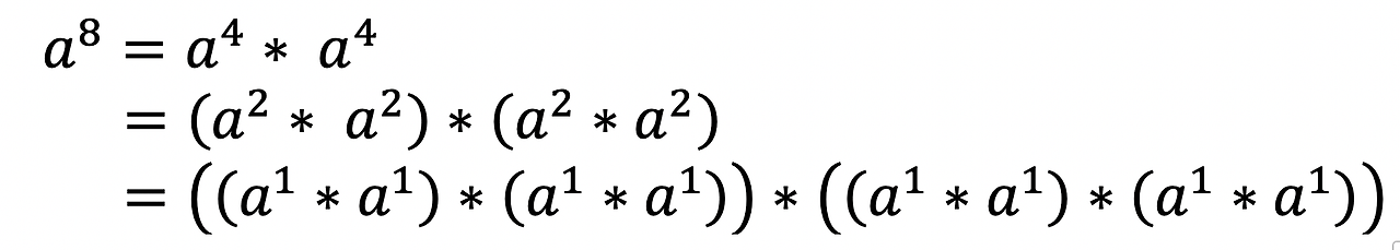
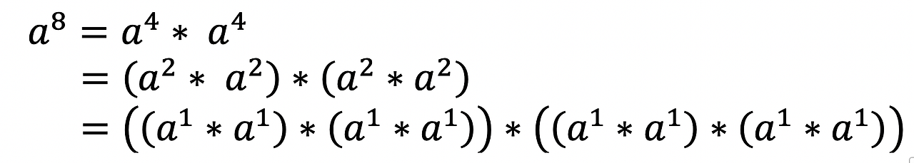
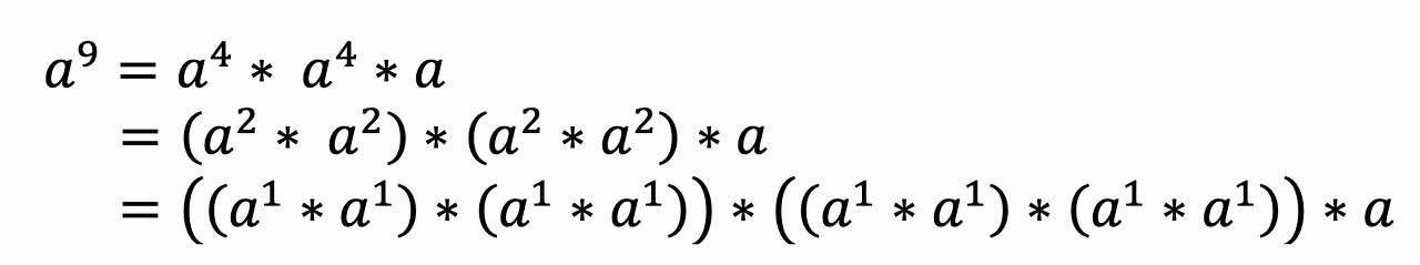
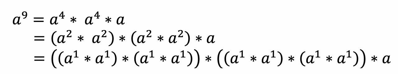
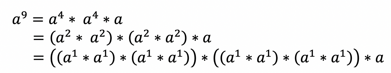
아래와 같이 계속해서 지수를 2로 나누어서 분할정복을 계속해서 해나간다.

이때, 지수가 홀수일 때는 마지막에 밑을 곱해주면 된다.

그럼 예제의 A = 10, B = 11 을 위 처럼 적용해보면 이렇다.

위 과정에서 지수는 절반으로 나누기 때문에 각 레벨에서 나뉜 두 지수를 모두 탐색할 필요없이 한 번만 구하면 된다.
이를 코드로 옮겨보면 이렇게 짤 수 있다.
아래의 모듈러 공식을 이용해서 long이 오버플로우가 되지 않도록 계속해서 C의 나머지를 구해야 한다.

전체 코드
import java.util.Scanner;
public class _1629 {
public static void main(String[] args) {
Scanner sc=new Scanner(System.in);
long a=sc.nextInt();
long b=sc.nextInt();
long c=sc.nextInt();
System.out.println(pow(a,b,c));
}
public static long pow(long a, long b, long c){ //a^b를 c로 나눈 나머지 값
if(b==1)
return a%c;
long mul=pow(a, b/2, c);
if(b%2==1)
return (mul*mul%c)*a%c;
return mul*mul%c;
}
}'ProblemSolve > BOJ' 카테고리의 다른 글
| [백준] 20055번: 컨베이어 벨트 위의 로봇 - JAVA (0) | 2024.07.25 |
|---|---|
| [백준] 2062번: 돌다리 건너기 - JAVA (0) | 2024.07.22 |
| [백준] 1202번: 보석도둑 -JAVA (2) | 2024.07.18 |
| [백준] 12865번: 평범한 배낭 -JAVA (0) | 2024.07.18 |
| [백준] 20366번: 같이 눈사람 만들래?-JAVA (0) | 2024.07.16 |